| CONTENTS | GLOSSARY | SUBJECT INDEX | SEARCH DOCUMENTATION |
The Electron Density Diagnostics tab is used to set parameters for computing Schlieren and shadowgraphy images.
Computing Schlieren and shadowgraphy images is only supported for 2-D cylindrical r-z geometry.
Schlieren and shadowgraphy images provide information on the spatial variation of the index of refraction across a probing laser beam. That is, they provide a measure of electron density gradients in the plasma by measuring their ability to deflect the probe laser light. The Schlieren image is a measure of the probe beam deflection angle. The shadowgraphy image is a measure of an intensity reduction factor. Each pixel in the two images is calculated by integrating along its line-of-sight.
To generate either Schlieren or shadowgraphy images, check the appropriate box. For a Schlieren image, the orientation of the slit must be specified (see illustration below). For either Schlieren or shadowgraphy images, the wavelength of the probe laser beam must be specified.

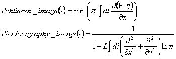
Images are computed based on the following. For each detector pixel i (i.e., line-of-sight through the plasma):


The index of refraction can be expressed in terms of electron number density Ne:
where Nc is the critical density.
Figure below presents the results of SPECT3D simulations and their comparison against the analytic solutions. In the simulation, the temperature is sufficiently high to ensure that the plasma is completely ionized. The mass density of a plasma was chosen such that the logarithm of the index of refraction is a simple function of radius r and is not a function of an axial variable z:
![]()
In this case, the derivatives are simply:
![]()
| Copyright © 2024 Prism Computational Sciences, Inc. | SPECT3D 20.5.0 |